重磅发布:《2025中印关系发展与媒体责任调查报告》
2026-01-16 HaiPress
1月16日,《2025中印关系发展与媒体责任调查报告》正式发布。本次民调由中国外文局中东欧与中南亚传播中心(人民画报社)与印度著名智库全球南方地缘经济中心、上海国际问题研究院南亚研究中心联合开展,自2025年10月至12月在中印两国同时进行。
该民调是在中印关系逐步回暖、两国恢复多层级对话与合作的背景下开展的。两国权威机构联合开展此次民调,旨在通过科学、客观的民意测量,探究两国公众在关系预期、合作意愿、障碍因素等维度的认知,重点评估媒体在塑造舆论、增进理解方面所承担的责任与发挥的作用,并通过对比分析,展示当前中印关系的复杂现状和未来发展趋势。

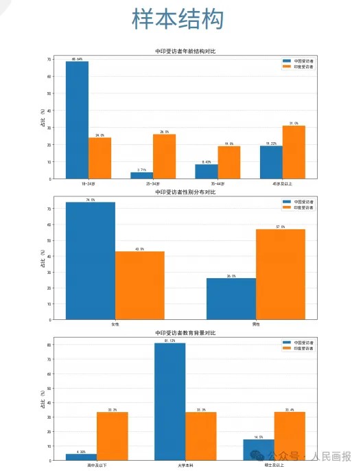
本次调查采用标准化问卷设计,共设置28个核心问题,采用线上线下相结合的方式,收集了来自中国和印度的1854份有效样本,涵盖两国不同性别、学历、职业等方面的受访者。

本次调查基于来自中国和印度的1854份有效样本。
调查数据显示,缺乏互信是两国关系发展主要障碍。中印两国受访者对彼此总体印象均以中性为主。同时,围绕地缘政治、边界问题及战略定位等方面的安全顾虑与情感鸿沟依然显著,构成了双边关系中的重要挑战。

调查显示,尽管两国民众都认识到双边关系发展存在挑战,但普遍将深化经济合作视为两国关系发展的重要方向,展现出较强的经济合作意愿。印度受访者尤其对中印经济合作能带来的机会充满期待。


此外,报告指出,中印两国在民间交流重要性认知上高度一致,双方都高度重视民间交流,都认为青年交流最重要,都有强烈的人员往来意愿,都认为签证困难是主要障碍。两国受访者均对中印关系长期向好前景表现出更为明确的预期。


基于此,《2025中印关系发展与媒体责任调查报告》提出“增进战略沟通,务实管控分歧”“强化经济合作,消除非必要壁垒”“扩大人文交流,促进相互认知”“加强治国理政经验互学互鉴”等政策建议,为推动两国关系朝着稳定、合作与互信的方向发展提供了参考。
来源:“中印对话”微信公众号
(责编:刘洁妍、刘叶婷)